Автоматизация склада на базе действующей программы 1С.
Потребность в автоматизации склада возникает у большинства компаний в связи с ростом фирмы. Когда компания сначала небольшая, то и склад у нее изначально небольшой. Как правило, на небольшом складе один кладовщик, который знает, какой товар где лежит. С ростом предприятия ассортимент товаров начинает расти, склад увеличивается и наступает момент, когда одного кладовщика уже мало, необходимое время на поиск нужного товара увеличивается. В таких случаях на помощь приходит автоматизация склада. Существует множество вариантов автоматизации склада: от простого адресного склада в текущей учетной программе до полноценной системы WMS. Мы же остановимся на простых способах автоматизации склада в текущей учетной системе, наиболее быстром и дешевом варианте. Важное замечание: автоматизацию склада нельзя делать в программе бухгалтерского учета (программа для бухгалтерского учета не отвечает главному требованию – не позволяет определить сколько какого товара лежит на складе в определенный момент времени), должна быть любая программа для оперативного учета.
Упрощенно работу склада можно разбить на три основных этапа: поступление товаров от поставщиков, хранение товаров и учет, выдача товаров клиенту. Вышеперечисленные этапы отображены на картинке ниже.

Исходя из такого условного разделения работы склада на этапы и строится автоматизация отдельно по каждому этапу. Парадоксально, но начинать нужно со второго этапа.
Организация адресного (ячеистого) хранения товара на складе.
Самый простой и достаточно эффективный способ автоматизации хранения товаров – это введение адресной (ячеистой) структуры хранения товаров на складе. По-простому говоря, адресное хранение – это такой способ расположения товара на складе, где каждому месту размещения товара присвоен адрес (уникальный номер в пределах склада). Разберем пример такого адреса. Возьмем стандартный склад, где стеллажи стоят в рядах, в каждом стеллаже есть ярусы, в каждом ярусе идет разбивка на ячейки. На рисунке ниже выделенная серым цветом ячейка имеет адрес «1-2-3-D» (номер ряда-номер стеллажа-номер яруса-номер ячейки):

Соответственно, на складе должны быть таблички на рядах, стеллажах, ярусах, ячейках, причем все больших размеров, чтобы глаз не «замыливался» у кладовщиков к окончанию смены и было понятно какой именно адрес у конкретной ячейки. Таким образом кладовщику становится понятно, где именно лежит нужный товар. В текущей программе 1С для внедрения адресного склада необходимо будет создать новый справочник «Адреса хранения» и заполнить его; доработать документы, которые осуществляют движения по товару, для работы с адресным складом; заполнить адреса хранения для текущих остатков товаров. Выполнив все вышеперечисленные требования, получим адресный склад в Вашей учетной программе 1С. На основании уже адресного склада можно развивать автоматизацию других этапов на складе. Если цель стоит приблизить автоматизацию склада к системам WMS, тогда можно задуматься о зонах склада, подпитке товаров при необходимости, классификация товаров по XYZ, раскладка по зонам в соответствии с полученной классификацией, хранение по паллетам, автоматическое перемещение товаров по складу и прочие механизмы.
Краеугольным камнем в автоматизации остальных этапов является адресный склад. Если адресный склад внедрен, можно приступать к автоматизации других этапов.
Улучшения этапа – отгрузка товаров.
На данном этапе, как правило, оптимизируют процесс сборки товаров по заявкам клиента, внедряют систему учета времени сборки заявок кладовщиками, внедряют систему контроля правильности сборки заявок.
Для оптимизации процесса сборки товаров используется построение оптимального маршрута сборки товаров по складу с минимальным расстоянием обхода. Для этого маршрут строится в порядке возрастания адресов, где находится нужный товар. Кладовщику распечатывается заказ клиента с обходом по адресам по возрастанию, чтобы кладовщик двигался по маршруту от начала склада к концу. Например, распечатанный заказ может выглядеть так:

Следующий шаг в развитии склада – это внедрение системы контроля времени сборки заказов клиентов. Такая система позволяет улучшить производительность кладовщиков, и построить систему мотивации. Для примера, разберем такую систему, которую мне приходилось разрабатывать и внедрять на достаточно большом складе (более 10000 м2), учетная система была на базе 1С 7.7 SQL версия.
Принцип работы такой системы следующий: все операции, связанные со сборкой заказов - штрихкодируются. На каждом этапе с помощью сканера штрихкодов вводятся данные по заказу, кладовщику, этапу, при этом система фиксирует автоматически время каждого этапа и сохраняет в базу. Таким образом ввод данных в систему занимает не более 10 секунд и при этом фиксируется вся информация, связанная с конкретным заказом. Это позволяет впоследствии получить отчеты по среднему времени сборки заказа кладовщиков (что существенно сокращает время сборки одного заказа); суммовые показатели по собранным заказам (сколько кг, м3 кладовщик собрал, если такие параметры влияют на коэффициент к заработной плате). Для работы такой системы потребуется присвоить штрихкоды каждому кладовщику, автоматически печатать на упаковочных листах штрихкод в виде номера упаковочного листа (задание на сборку заказа клиента), а также выделить отдельный компьютер с принтером со специальным рабочим местом, где кладовщики будут брать задание на сборку и там же с помощью сканера штрихкодов вводить информацию.
Персональный штрихкод кладовщика удобно хранить в виде бейджика, который защищен от механических повреждений и всегда с кладовщиком:

Штрихкод в упаковочном листе печатается в любом свободном месте, и представляет собой комбинацию: номер документа + дата документа + часть документа (документ в данном примере автоматически делился по количеству зон сборки товаров):

Последним компонентом системы служит специальный интерфейс, где кладовщики смогут распечатывать себе задание на сборку и внести данные по выбранному упаковочному листу:
Кладовщик подходит к компьютеру, нажимает «F3», печатает упаковочный лист, в произвольном порядке штрихкодирует бейджик и упаковочный лист, а затем выбирает кнопку, соответствующую операции «Начало сборки», система фиксирует данные и время начала сборки. В системе предусмотрено 5 операций, но основными являются две – начало и окончание сборки. Когда кладовщик заканчивает сборку заказа, он подходит к компьютеру штрихкодирует упаковочный лист и бейджик и выбирает операцию – «Окончание сборки», фиксируется время окончания сборки. Таким образом можно получить всю необходимую информацию по сборке заказа: кто собирал, за сколько собрал, сколько кг, м3 было в упаковочном листе. Для ответственных лиц на складе был сделан «Журнал сборки», где была видно на каких этапах находятся заказы клиентов, кто собирает и т.д.:
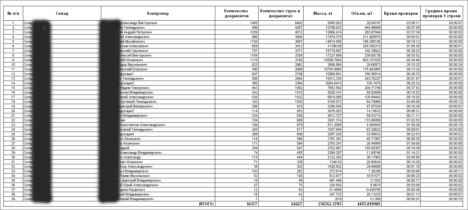
Для мотивации кладовщиков был создан отчет «Отчет по сборке накладных».

Отчет доступен для ответственных лиц на складе в расширенной версии, и для кладовщиков – показывает данные только по кладовщику, который отшрихкодировал свой бэйджик. Таким образом кладовщик сможет увидеть сколько он заработал за день, неделю, месяц и т.д. Отчет выглядит следующим образом:
Результатам внедрения системы учета сборки товаров стал рост производительности кладовщиков приблизительно на 300%, т.е. в среднем один средний заказ стал собираться в 3 раза быстрее.
Поскольку автоматизируемый склад был большой, то сборка товаров по упаковочному листу не всегда была возможна без привлечения погрузчиков для снятия товаров с верхних полок. Так же после сборки товаров по упаковочному листу производился контроль качества сборки заказа специальным сотрудником и потом уже собранный товар отдавался клиенту либо транспортной компании. Для ускорения вышеописанных операций была автоматизация штабелеров (погрузчиков) и контролеров по собранным заказам. Данный персонал работал с помощью ТСД (терминал сбора данных).
Для учета времени работы штабелера был разработан специальный интерфейс, где штабелер штрихкодировал упаковочный лист и ячейку хранения товара, с которой снимался товар с помощью ТСД:

Система фиксировала что и откуда снимал штабелер и за какое время. Так же была введена защита от накруток, чтобы нельзя было два раза ввести одни и те же данные. Был построен отчет по мотивации:
Результатам внедрения системы учета работы штабелеров стала возможность вывода «лишнего» погрузчика из 3 доступных и перевод его исключительно на оприходование товаров. До автоматизации компания планировала докупить еще одни погрузчик.
Для учета работы контролеров был разработан свой интерфейс под ТСД, журнал контроля сборок и отчет по мотивации.
Рабочее место:

Журнал проверок заявок:
Отчет по проверке заявок:
В целом автоматизация учета сборки товаров оказалась эффективным инструментом для увеличения производительности этапа склада, как отгрузка товаров. В вышеописанном случае система автоматизации склада оказалась достаточно «примитивной», можно было построить гораздо более «навороченную» систему, но автоматизация была такой, какую захотел заказчик (начальник склада).
Улучшения этапа – приемка товаров.
На данном этапе, в зависимости от вида деятельности компании, типа склада, будет строится автоматизация процесса оприходования товаров. В общем случае, улучшение этапа должно приводить к скорости приемки. Скорость приемки можно улучшить следующими двумя способами или их комбинацией:
- дробление прихода на части (например, на паллеты) и оприходование товаров по частям, т.е. не надо ждать окончания приемки всего товара, чтобы потом ввести данные в учетную систему, данные в учетную систему вводятся по частям;
- введение системы учета времени приемки товаров и построение на основание данной системы систему мотивации кладовщиков.
Система учета времени приемки товаров аналогична вышеописанной системе учета времени сборки заказов, только вместо заказов штрихкодируются документы поступления товаров, аналогично строится система мотивации кладовщиков. Немного отличается рабочий интерфейс, поскольку системой предусматривается, что один приход товаров может делать несколько кладовщиков.
Более подробно рассмотрим систему дробления прихода товаров. В моей практике случилась следующая ситуация: у компании был основной поставщик, который привозил продукцию паллетами, в среднем количество паллет было от 78 до 82, т.е. всегда полная машина с полуприцепом. В учетной системе предприятия был следующий механизм приемки товаров на склад: создавался документ «поступление товаров» (финансовый), который вносил информацию о количестве товаров и ценах, и на основании этого документа делался документ «Поступление товаров на склад», который вносил информацию в какие ячейки хранения был положен тот или иной товар. Последовательность проведения документов была следующей, сначала проводилось складское поступление товаров, а затем уже и финансовое поступление товаров. Т.е. менеджер не сможет продавать товар, который уже фактически лежит в ячейках хранения пока не оприходуется полностью весь товар. Когда фирма принимала один такой приход в месяц, то у компании хватало ресурсов для того, чтобы перебросить кладовщиков на приход и быстро оприходовать такой большой приход товаров на склад. При такой нагрузке начальник склада имел возможность балансировать нагрузку на кладовщиков, но, когда объемы продаж стали расти, и стало 4 таких больших поступления в месяц, склад стал очень сильно долго принимать такие поступления товаров и стали ежедневным явлением переработки склада от 2 до 4 часов в день. Было принято решение ускорить приемку товаров. После изучения всей информации было выяснено, что поставщик имеет техническую возможность предоставлять данные о составе каждой паллеты в электронном виде. Был предложен вариант оприходования товаров по паллетно, т.е. склад пересчитал количество товаров в паллете, сверил с исходными данными, разместил в ячейки хранения и товар сразу становится доступным в продаже, не требуя окончания оприходования всей машины. Такая технология устроила всех, ведь менеджеры сами могут определять в какой последовательности приходовать паллеты, а складу главное в первую очередь собрать «срочные» паллеты, а остальные можно распределять по своему усмотрению, что позволяет балансировать нагрузку на кладовщиков без ущерба общей производительности. Вариант дробления приходов был реализован на базе программы 1С 7.7 DBF версия.
В учетной программе в документе «Поступление товаров» была добавлена закладка, которую заполнял ответственный сотрудник склада:

После того, как сотрудник заполнял все необходимые данные, становилась доступной кнопка «показать состав паллет», при нажатии на которую, можно было посмотреть состав паллет:

При вводе документа «Поступление товаров на склад» на основании документа «Поступление на склад» система автоматически создавала столько документов «Поступление товаров на склад», сколько было паллет. Затем склад лишь в нужном порядке приходовал товары на склад. Документ «Поступление товаров на склад», который приходовался последним в очереди из всех документов, являлся контрольным и проверочным, и пока не сходились все данные - не давал проводиться. Таким образом появилась возможность приходовать товары по паллетно по всем поставщикам, которые имели техническую возможность предоставлять данные по паллетам в электронном виде.
Заключение: на базе текущей учетной системы, можно построить достаточно «дешево» (относительно стоимости систем WMS), собственную систему автоматизации склада, которая будет охватывать все основные этапы. Нужно заметить, что на каждом складе есть своя специфика, которую нужно будет учитывать при автоматизации. Главное в данном процессе – четко поставленная цель, т.е. что хотим получить на выходе и что хотелось бы улучшить по пунктам. В таком случае есть большая вероятность успеха.






