Конфигурация 1С для зуботехнической лаборатории:
Задача: Заказчику нужна была программа, которая отвечала бы следующим требованиям:
- 1) Реализовать рабочее место администратора лаборатории, в виде календаря с отображением заказов клиентов по датам, а также списки текущих заказов и просроченных заказов;
- 2) Должна быть возможность вести учет услуг по клиентам. Услуги состоят из этапов, должна быть возможность удалять некоторые этапы из заказ-наряда;
- 3) Должен быть механизм ценообразования;
- 4) Должны быть стандартные модули учета остатков материалов, модуль взаимозачетов;
- 5) Должна быть возможность учитывать оказанные услуги сотрудниками, и на основании этого рассчитывать зарплату;
- 6) Должна быть возможность настроить скидки на услуги;
Версия 1С: 8.2 конфигурация: собственная разработка
Стоимость: Стоимость приобретения конфигурации 2700 у.е.(*) (Цена за полнофункциональную версию программы без ограничений по количеству пользователей).
Описание работы:
Подробный видеообзор работы программы
Главное окно разработанной конфигурации выглядит следующим образом:
У главного окна "Рабочий стол" два режима вывод информации по заказам - "день" и "неделя":
Основные меню "Справочники", "Документы", "Отчеты" выглядят так:



В конфигурации 2 основных справочника "Услуги" и "Контрагенты", которые активнее всего используются:


Карточка элемента справочника "Услуги":




Карточка элемента справочника "Контрагенты":


Основные документы в конфигурации "Заказ-наряд" , "Прейскурант", "Поступление денег", "Поступление материалов".
Документ "Заказ-наряд" позволяет выбирать список услуг, которые нужно оказать клиенту, заполнить зубную формулу, списать материалы, расходующиеся при оказании выбранных услуг, распечатать заказ-наряд и самоклеящуюся этикетку для наклейки на коробку. Так же в документ встроен механизм скидок, который закладывается в справочнике "Скидки". Документ "Поступление товаров" выглядит следующим образом:



В документе "Прейскурант" задаются цены как для клиентов в разрезе форм оплат, так и для техников - т.е. какова цена работы техника для каждой услуги, чтобы потом посчитать зарплату технику. Документ "Прейскурант" выглядит следующим образом:


Документ "Поступление денег" выглядит так:

Документ "Поступление материалов" выглядит так:

Основные отчеты в конфигурации - это "Остатки материалов", "Отчет по зарплате", "Дебиторская задолженность", "Отчет по выручке", "Отчет по оплатам", "Акт сверки".
Отчет "Остатки материалов" выглядит следующим образом:

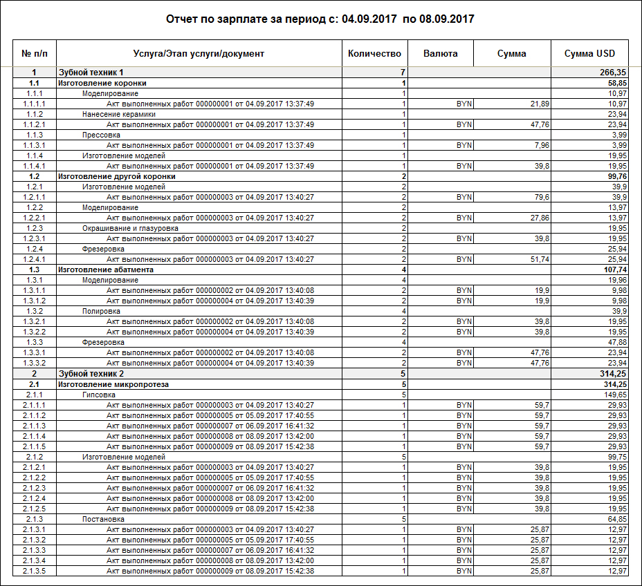
"Отчет по зарплате" выглядит следующим образом:

Отчет "Дебиторская задолженность" выглядит следующим образом:

"Отчет по выручке" выглядит следующим образом:


"Отчет по оплатам" выглядит следующим образом:


Отчет "Акт сверки" выглядит следующим образом:


(*) - Цены в у.е. приведены для справки. Расчет осуществляется только в белорусских рублях.





